Synchron-Reluktanzmotor vs. Asynchronmotor Effizienz als neue Energiequelle: Wird der Asynchronmotor abgelöst?
Wird der Asynchronmotor bald abgelöst? Es gibt erste Anzeichen. Denn der magnetlose Synchron-Reluktanzmotor mit IE4 ist ideal für drehzahlvariable Antriebe. Für Lastfälle mit hohen Betriebsstundenzahlen ist er die ideale Spardose.
Anbieter zum Thema

Die steigenden Energiepreise lenken das Augenmerk immer stärker auf die Effizienz der vielen Elektroantriebe, die drehende Arbeitsmaschinen antreiben. Neben den lang bekannten Asynchron- und Synchronmotoren taucht nun der „neue“ Synchron-Reluktanzmotor auf. Er ist speziell für drehzahlvariablen Betrieb am Umrichter – aus dem seit 90 Jahren bekannten Reluktanzmotor – entwickelt, hat mit IE4 einen ausgezeichneten Wirkungsgrad – auch im Teillastbereich – und ist besonders für Lastfälle mit hohen Betriebsstundenzahlen die ideale Spardose. In diesem Bereich schickt er sich an, den Asynchronmotor abzulösen. Der „neue“ Synchron-Reluktanzmotor gehört zur Familie der Reluktanzmotoren. Er sollte weder mit dem Standard-Reluktanzmotor noch mit dem geschalteten Reluktanzmotor verwechselt werden.
Optimale Führung des magnetischen Flusses
Die Besonderheit des Synchron-Reluktanzmotors ist – im Gegensatz zu seinen Brüdern – die optimierte Führung des magnetischen Flusses durch den geblechten anisotropen Läufer mit magnetisch gut leitenden Stegen in der d-Achse und mit schlecht leitenden Sperren aus „Luft“ in der q-Achse. In den Nuten seines geblechten Ständers liegt eine Standard-Drehstromwicklung; meist 4-polig ausgeführt.
Die besonders gestalteten Flussstege der Pole und die Flusssperren in den Lücken (q-Achse) sind für den effektiven Betrieb des Motors entscheidend. Je größer der magnetische Fluss in d-Richtung im Verhältnis zu dem in q-Richtung ist, desto größer ist das Spitzen-Drehmoment des Motors.
Wird die Ständerwicklung von einem Umrichter bestromt, so bildet sich ein magnetisches Motorfeld aus. Der Läufer stellt sich mit den Flussstegen der Pole in die Richtung dieses Feldes ein und synchronisiert sich mit dem Feld. Er verhakt sich quasi über „Gummifäden“ an den Polen des Feldes. Dreht sich das Feld dann im Betrieb, wird er synchron mitgenommen. Über den speisenden Frequenzumrichter kann jede gewünschte (Drehfeld-)Drehzahl n ~ f (Frequenz f) eingestellt werden. Bei Belastung der Motorwelle längen sich die „Gummifäden“ und der Läufer dreht sich aus der Leerlaufwinkellage heraus; wie bei jedem Synchronmotor stellt sich lastabhängig ein Polradwinkel ϑ ein. Bei starker Überlast vergrößert sich der Polradwinkel derart, dass die „Gummifäden“ reißen und der Läufer außer Tritt fällt. Der Läufer des Synchron-Reluktanzmotors ist, wie beschrieben, sehr einfach nur aus geschichteten Blechen aufgebaut, die von Endringen zusammengepresst und gehalten werden. Im Gegensatz zum Standard-Reluktanzmotor oder zum Asynchronmotor trägt der Läufer keine Kurzschlusswicklung aus Aluminium oder Kupfer. Auch teure permanente Magnete, wie beim Permanentmagnet-Synchronmotor (PM), sind nicht notwendig. Dadurch ist der Läufer sehr Material sparend und kostengünstig aufgebaut, wirtschaftlich zu fertigen und hat eine geringe Masse.
Betrieb und Wirkungsgrad
Für den drehzahlvariablen Betrieb ist ein Frequenzumrichter mit Spannungszwischenkreis (U-Umrichter) notwendig. Da der Motor aus Kostengründen ohne Läuferlage-Sensor arbeitet, muss die Software des Umrichters auf diesen Betrieb (sensorlos) einstellbar sein und den Polradwinkel erkennen. Das Paket >Umrichter + Motor< arbeitet also bereits optimiert; lineare oder quadratische U/f-Kennlinien sind weiterhin zur Anpassung an die Last einstellbar.
Wegen der Luftsperren des Flusses im Läufer kann der Synchron-Reluktanzmotor einen etwas größeren Magnetisierungsstromanteil im Vergleich zu einem Kurzschlussläufer eines Asynchronmotors haben. Das wirkt sich aber nicht auf den Netzstrom aus, weil der Magnetisierungsbedarf grundsätzlich vom Zwischenkreiskondensator C gedeckt wird. Nur die Wirkleistung kommt aus dem Netz.
![Betrieb am Umrichter [1] Betrieb am Umrichter [1]](https://cdn1.vogel.de/unsafe/540x0/smart/images.vogel.de/vogelonline/bdb/724600/724611/original.jpg)
Weil der Läufer keine Wicklung trägt, fallen auch keine Stromwärmeverluste (Joulsche Verluste) an, wie das prinzipiell bei den bisher eingesetzten Asynchronmotoren im Läufer der Fall ist. Leicht einzusehen, dass dadurch seine Effizienz die eines Asynchronmotors gleicher Leistung übersteigt. Der Synchron-Reluktanzmotor hat die Effizienzklasse IE4 (Super Premium Efficiency, die bisher allerdings nur im Norm-Entwurf [2] steht). Da im Läufer keine Wärmeentwicklung auftritt, bleiben auch die Lager kälter. Der ganze Motor und damit auch die Ständerwicklung (Klasse F) erwärmen sich weniger. Statt um zulässige 65 K erwärmt sich z. B. ein 7,5 kW Motor bei Bemessungslast nur um 54 K! Das erhöht sowohl die Lebensdauer der Lager als auch der Wicklungsisolation und reduziert Ausfallzeiten drastisch (Montsingersche Regel [1]).
Kostenvorteil auch im Teillastbereich
Umfassende Untersuchungen zeigen, dass die meisten Antriebe eher dauernd im Teillastbereich mit geringerer Last als mit Bemessungsmoment und dem zugeordneten besten Wirkungsgrad laufen [3], [4]. Der Synchron-Reluktanzmotor glänzt nun auch im Teillastbereich mit seinen sehr guten Wirkungsgradwerten. Somit ist er für die tätsächlichen Betriebsfälle der Praxis mit den wechselnden Lasten, z. B. nach dem „Blauen Engel“-Profil, bei Pumpen bestens geeignet.

Vergleiche zwischen Motoren verschiedener Effizienzklassen zeigen die möglichen Kostenvorteile bei einer idealen Pumpenlast und dem Profil „Blauer Engel“. Mit Blick auf die EU Richtlinien für 2015 und 2017 sollte man bei der Umrüstung überlegen, ob man nicht gleich eine höhere Effizienzklasse wählt und somit beim Betrieb schon von Beginn an spürbar spart.
Die vorgestellten Hochwirkungsgradmotoren eignen sich auch zum Ersatz von bestehenden Antrieben, da sie IEC-Abmessungen haben. Der Ersatz eines Antriebs muss natürlich auch antriebstechnisch überdacht werden. Die geringere Masse und das kleinere Massenträgheitsmoment sind Auswirkungen der speziellen Läuferkonstruktion.
Retrofit und sicherer Betrieb
Wie bereits erwähnt, sind Synchron-Reluktanzmotoren schwingungsfähige (Feder-Masse-)Systeme. Das Übergangsverhalten bei der Drehzahl n führt bei Schaltvorgängen schnell wieder zu stabilen Verhältnissen, wenn die Übergangsschwingungen bei den Laststößen abgeklungen sind.

Der Praxistipp: Schon jetzt umstellen
Der IE4-Synchron-Reluktanzmotor ist zweckmäßig im Paket mit dem passenden Frequenzumrichter zu beschaffen und zu betreiben. Er wird in zwei Auslegungen angeboten: entweder mit hohem Wirkungsgrad oder mit kleiner Baugröße. Wegen seines hohen Wirkungsgrades besonders auch im Teillastbereich, ist er für Pumpen- und Lüfterantriebe, die mit hohen Betriebsstundenzahlen, aber auch oft im Teillastbereich laufen, bestens geeignet. Er kann aber auch gegen das volle Bemessungsmoment anlaufen, wie das z. B. bei Kompressoren gewünscht wird. Drehzahlvariable Antriebe mit diesem Effizienz-Paket amortisieren sich meist schon in weniger als zwei Jahren.
Der Trend zum Synchron-Reluktanz-Paket wird auch durch die zwingende Umsetzung der EU Richtlinie EG640/2009 gefördert, die ab 2017 höhere Wirkungsgrade vorschreibt und durch das Förderprogramm der Bundesregierung den Mittelstand unterstützt [7]. Bei weiter steigenden Energiekosten kann man schon jetzt sparen.
Sparen Sie schon jetzt und stellen Sie Ihre Antriebe um!
Das Prinzip des Reluktanzmotors
Ein drehbar gelagerter Streifen aus Eisenblech stellt sich in einem Magnetfeld parallel zum Verlauf der Feldlinien ein (d-Achse). Wird er aus dieser Richtung um einen Winkel ϑ herausgedreht, entstehen Rückstellkräfte und das Reluktanzdrehmomente T. Gleiches erfährt der Läufer eines modernen Reluktanzmotors, wie man aus dem Verlauf der Magnetlinien ersehen kann.
Die Spannungsgleichung
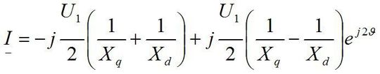
Das Betriebsverhalten von Drehfeldmotoren kann sehr gut aus der Stromortskurve abgelesen werden, die man aus der Spannungsgleichung des Motors ableitet. Zur besseren Übersicht werden der Wirkwiderstand R1 der Ständerwicklung und die Sättigungseinflüsse im Läufer des Synchron-Reluktanzmotors vernachlässigt.
Die Spannungsgleichung erhält man zu:
und gewinnt daraus die Stromgleichung mit den beiden Komponenten zu:
vereinfacht dargestellt:
Die Stromortskurve
Der Ständerstrom setzt sich aus zwei Komponenten zusammen. Die Stromkomponente I’ ist bei gegebenem Motor eine feste Größe und ihr Betrag nur von der Netzspannung U1 und den Reaktanzen Xd und Xq abhängt. Die Komponente I’’ hat ebenfalls eine feste Länge (Betrag), ändert allerdings in Abhängigkeit vom Polradwinkel 2 also von der mechanischen Belastung) die Phasenlage und durchläuft einen Kreis. Beim Winkel p ϑ = 45° wird das Kippmoment erreicht. Die Verhältnisse zeigen die Abbildung 1 ( der Ständerwirkwiderstand R1 und Sättigungseffekte sind vernachlässigt).
Die Auswertung
Wie bei allen Drehstrommotoren ist der Wirkanteil des Stroms I dem Drehmoment T proportional. Bei Belastung im Motorbetrieb stellt sich ein Polradwinkel ϑ ein und der Läufer dreht sich aus der Nulllage heraus. Der Läufer ist über eine „elektromagnetische Drehfeder“ mit dem Drehfeld verbunden und stellt ein schwingungsfähiges System mit dem Massenträgheitsmoment J des Läufers dar. Folglich schwingt das Polrad bei Belastungssprüngen in den neuen stationären Polradwinkel ein.

Der Strom I hat wegen der Motormagnetisierung immer eine induktive Komponente. Das Kippmoment wird beim Polradwinkel von ϑ = 45°el erreicht. Das entspricht bei einem 4polige Motor einem mechanischen Winkel von ϑel/p = 22,5°mech. Sowohl motorischer als auch generatorischer Betrieb sind möglich.
Das Zeigerdiagramm
Aus dem Zeigerdiagramm des Synchron-Reluktanzmotors lassen sich weitere Erkenntnisse zum stationären Betrieb gewinnen.

Literaturhinweis:
[1] Brosch: Moderne Stromrichterantriebe. Vogel Verlag Würzburg, 5. Auflage 2008
[2] IEC 60034-30 Ed.2.0 (Entwurf mit IE4-Daten)
[3] Gontermann, D. u. Oesterle M.: Der Triumph des Asynchronmotors und sein Niedergang. Delta p (Magazin für Pumpentechnologie) 1/2012, S.40–44
[4] Druckschrift REEL SuPremE A, Datenblatt, www.reel.it
[5] ABB Druckschrift: Antriebspaket mit High Output – Synchronreluktanzmotor. 3AUA0000124278REVCDE 9,7.2012#16376
[6] ABB 33385040 N.N. Mehr Leistung und mehr Effizienz. Der Konstrukteur 11/2011 S.24-25
[7] Bundesamt für Wirtschaft und Ausfuhrkontrolle (BAFA), Frankfurter Straße 29, 65760 Eschborn, E-Mail: QST@bafa.bund.de.Einzelmaßnahmen Merkblatt für Anträge nach 3.1.1 der Richtlinie für Investitionszuschüsse zum Einsatz hocheffizienter Querschnittstechnologien im Mittelstand
[8] WEG: W22 Super Premium Efficiency – IE4
[9] VEM: PE1R Permanenterregte Synchron-Energiesparmotoren für Umrichterbetrieb
* *Prof. Prof. h.c. mult. Dr.-Ing. Peter F. Brosch, Hochschule Hannover, Dipl.-Ing. Limin Shen, Laboringenieur, ZUST - Zhejiang University of Science and Technology, China.
(ID:42569661)


